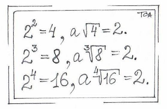
Арифметический корень

Числа в степень мы возводим
И с неё мы глаз не сводим.
Она покажет, как указ,
Число умножить сколько раз.

Возводим числа деликатно,
Растут они ведь многократно.
Считаем числа безвозвратно?
Нельзя вернуть ли всё обратно?

Вспять свернуть нам сей процесс
Поможет чудо из чудес-
В вычисленьях славится,
Корнем называется.

С него нам будем много проку,
Числа он вернёт к истоку.
Степеней обратных дел-
Главный вот его удел!


Рецензии