О любви!!! к физике, её разделе статистическом

Если перед вами молекул множество неимоверное
И стоит задача дать описание вероятностно-верное,
Ведь описание системой уравнений Ньютона невозможно реализовать практически,
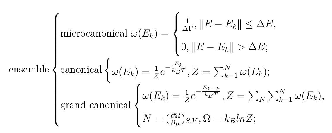
То в помощь вам ансамбль, но какой, быть может микроканонический?!

Если в замкнутом объёме, они движутся непрестанно,
Одну и ту же энергию поддерживая неустанно,
То микроканонический - вариант лучший самый,
Но если нет, то что тогда? - "О, ужас, мама!!!"
Тогда твоему сыну, такому вот прагматику,
Придётся наводить другую математику.

Переведя дух, освежив дыхание эклипсом,
Я тотчас же подумаю про ансамбль Гиббса,
Его ещё зовут в народе каноническим,
Создание его - подвид подстать былинным и эпическим.

Но когда же применять его всё-таки можно,-
Взгляну в свою тетрадь - без неё тревожно.
Сотни тут лежат исписанных, но вроде бы нашёл,
Читаю как написано: "...это ансамбль подсистем,
Чья температура постоянна, молекул живущих тем,
Что в замкнутом объёме движутся непрестанно".

Ну думаю про себя: "Можно описать, всё круто, офигенно,
Но что же мне сказать, если число молекул переменно?!
Открытые системы, разгуляться можно вволю,
Но как же описать ансамбль, что выпал мне на долю?!

Подумал тут, подумал о Аристотеле, о вечности Души,
Но что тут думать?! - эту ведь задачу когда-то Гиббс решил,
Назвав его также каноническим, но уже Большим.

И вот пребывают эти три решения,
Что составляют человечества большое достижение.
Но на этом завершается моментов множество лирических
О любви!!! к физике, её разделе статистическом.


Рецензии
Это что-то грандиозное,
объято необъятное
местами непонятное,
сложно-объяснимое,
неудобно переваримое,
для студентов -
почти приговор:
"Коли не понял -
иди ка ты вон".
Но без любви
к сие предмету,
не родились бы
строки эти.
Поэтому у вас,
определённо,
есть талант -
необычное
доступно объяснять.
Спасибо Вам!

Олеся Ольга Борисова   20.07.2015 07:11     Заявить о нарушении